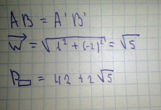
Когда вы копируете отрезок AB параллельно вектору w, вы перемещаетесь в отрезок AB. Если w (1, -2), найдите периметр прямоугольника ABBA. AB = 21 Пожалуйста помогите!
Ответы
Ответ дал:
4
Объяснение:
зарания пожалуйста!!!!!!!!
Приложения:

marzhan198004:
Это ответы?правильно?
Вас заинтересует
2 года назад
2 года назад
2 года назад
2 года назад
7 лет назад
9 лет назад