• Предмет: Геометрия
  • Автор: Kirishka208
  • Вопрос задан 3 года назад

СРОЧНО,ДАЮ 21 БАЛЛ,1 ВАРИАНТ!!!!!!!!!!!!!!

Приложения:

Ответы

Ответ дал: midsomnartson
1

Ответ:

1)

18км/ч = 18×1000м/3600с=5м/с - скорость мухи

20м/с - скорость скворца

20м/с > 5м/с скорость скворца больше, чем скорость мухи

2) 2.4км=2400м

V=2400:80=30м/с

ответ:30м/с

3)

S=100м

V=80км/ч = 22м/с

найти - t=?

решение: S=Vt

t=S/V

t=100м/22м/с=4,5с

ответ:4,5с

4)20г=0,02кг

15т=15000кг

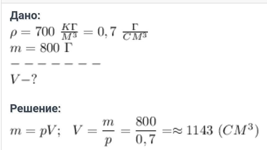
5) ответ на фото

6)вес- динамометр

масса- весы

скорость- спидометр

7)m= pV ; p = 7800кг/м^3 ;V =abc = 2*0.8*0.002=0.0032м^3

m = 7800*0.0032=24.96кг. - масса одного листа

3т = 3000кг : 3000/24.96 = 120 листов

Приложения:

Kirishka208: спасибо бро)
midsomnartson: да на здоровье, ахах.
Вас заинтересует