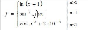
Решить задачу через Pascal ABC. Напишите программу в pascal которая будет решать эту задачу.
Приложения:

Ответы
Ответ дал:
1
PascalABC.NET
begin
var a := 5;
var x := Readinteger('Введите x ->');
var f := x > 1 ? ln(x+1) : cos(x**2+2*10**-5);
Println('F = ', x = 1 ? sin(sqr(sqrt(abs(a*x)))) : f);
end.
Приложения:

JuceZ:
Помоги https://znanija.com/task/40631178
Вас заинтересует
2 года назад
2 года назад
7 лет назад
7 лет назад
9 лет назад
9 лет назад