• Предмет: Алгебра
  • Автор: KseniyaSurGPU
  • Вопрос задан 11 лет назад

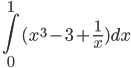
помогите пожалуйста вычислить интеграл: 

Приложения:

Ответы

Ответ дал: Гоша68
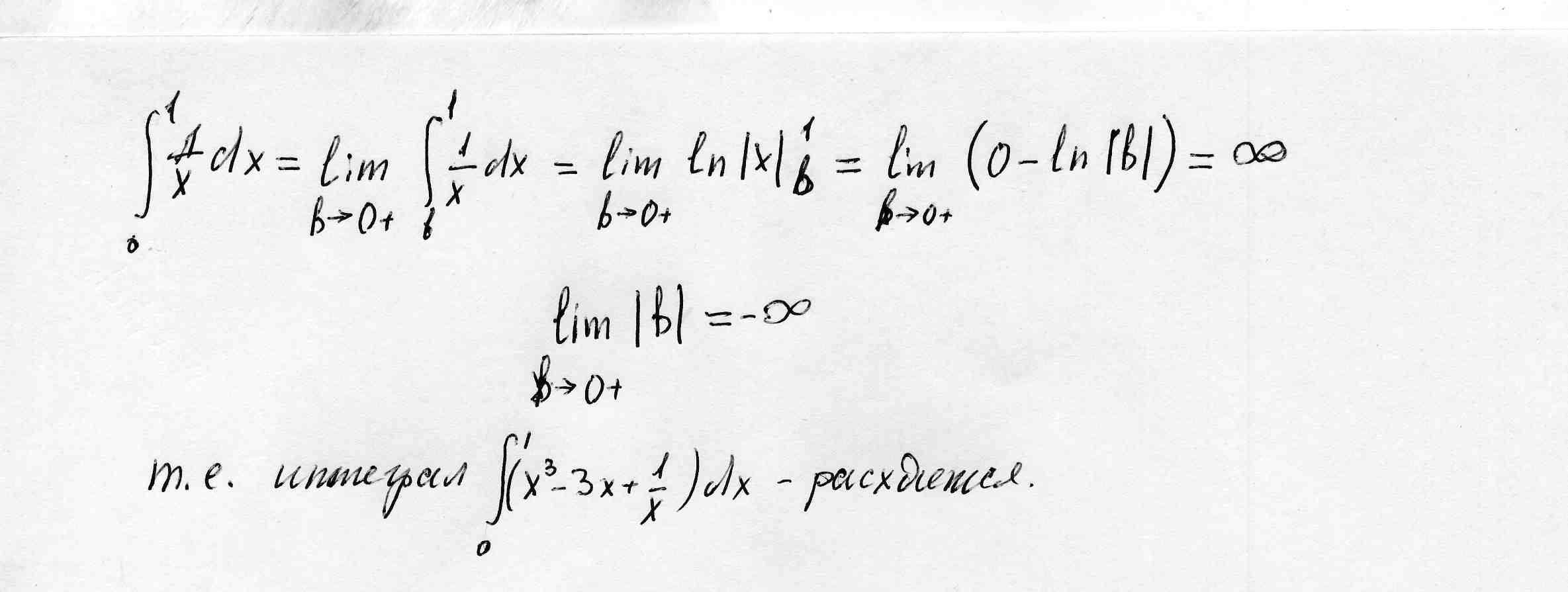
0

Это несобственный интеграл. В точке 0. подинтегральная функция

терпит разрыв. решение разбивается на два интеграла.

первый дает

x^4/4-3x|1-0=1/4-3-0-0=-2,75

второй интеграл расходится, следовательно расходится

и основной инетеграл.

 

Приложения:
Вас заинтересует