• Предмет: Математика
  • Автор: loskutovapolina95
  • Вопрос задан 3 года назад

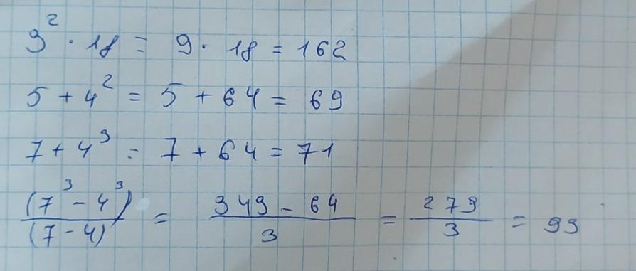
657. Найдите значение выражения: 3²*18; 5+4²; 7+4³; (7³-4³):(7-4); Пожалуйста)​

Ответы

Ответ дал: evgeniamalaa23
2

вот, вроде так надеюсь помогла

Приложения:
Вас заинтересует