• Предмет: Математика
  • Автор: xardgrif
  • Вопрос задан 3 года назад

Помогите пожалуйста решить
есть 19 балов и все

Приложения:

Ответы

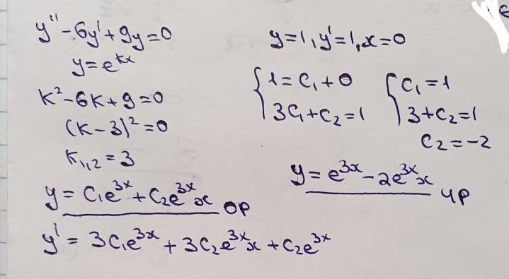
Ответ дал: Miroslava227
1

решение на фотографиях

Приложения:

571800: люди помогите мне с алгеброй зайдите на вопрос мой срочнооо
571800: пожалуйста
Вас заинтересует