Ответы
Ответ дал:
6
Ответ:
import math
#округление чисел
def float_(num, places = 0, direction = math.floor):
return direction(num * (10**places)) / float(10**places)
#твоя формула
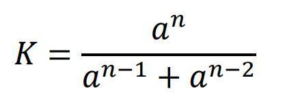
def formula(a,n):
return (a ** n) / (a**(n-1) + a**(n-2))
a = int(input(f"Введите a\n")) # Ввод
n = int(input(f"Введите n\n")) # Ввод n
K = float_(formula(a,n), 2) # к K присваивается функция formula
print(f"K = {K}") # Вывод K
Объяснение:
Написано на python(питоне) 3.7+
Приложения:

Вас заинтересует
2 года назад
2 года назад
2 года назад
2 года назад
7 лет назад
9 лет назад
9 лет назад