• Предмет: Математика
  • Автор: inkar1206
  • Вопрос задан 3 года назад

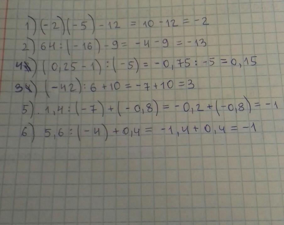
Выполните действия
1)(-2)*(-5)-12
2)64:(-16)-9
3)(-42):6+10
Вычислите
4)(0,25-1):(-5)
5)1,4:(-7)+(-0,8)
6)5,6:(-4)+0,4
помогите пожалуйста

Ответы

Ответ дал: Applegate
8

Ответ:

1) -2

2) -13

3) 3

4) 0.15

5) -1

5) -1

Пошаговое объяснение:

на фото

(извини, перепутал номера 3 и 4)

Приложения:
Вас заинтересует