• Предмет: Алгебра
  • Автор: ezurzydux
  • Вопрос задан 3 года назад

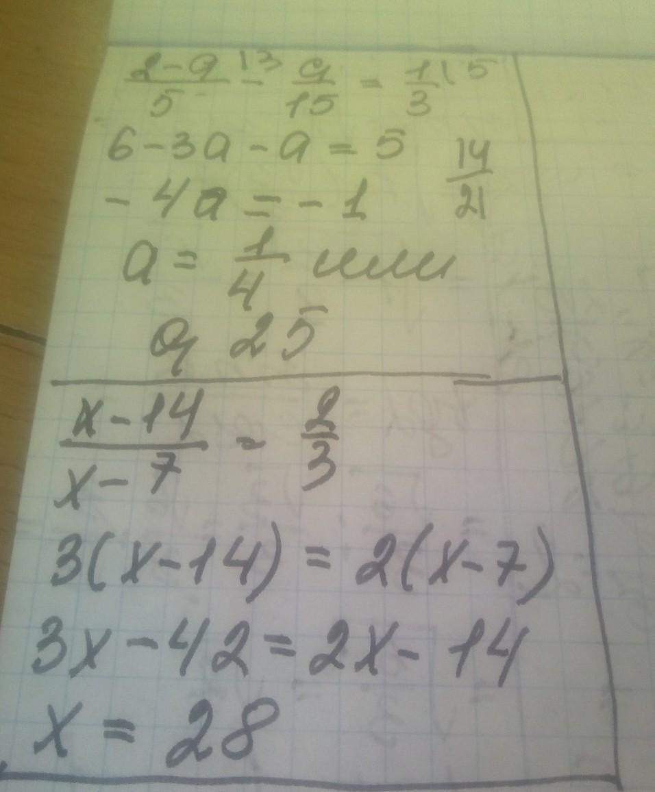
найдите корень уравнения !

Приложения:

Ответы

Ответ дал: manyny06
1

Ответ:

решение на фотографии

Приложения:

ezurzydux: большое спасибо !
Вас заинтересует