• Предмет: Математика
  • Автор: tasem682
  • Вопрос задан 3 года назад

Сложение смешанных чисел. Вычитание смешанных чисел. Урок 5
Вычисли.
помогите пожалуйста​

Приложения:

Ответы

Ответ дал: ostrovskyanna
8

Ответ:

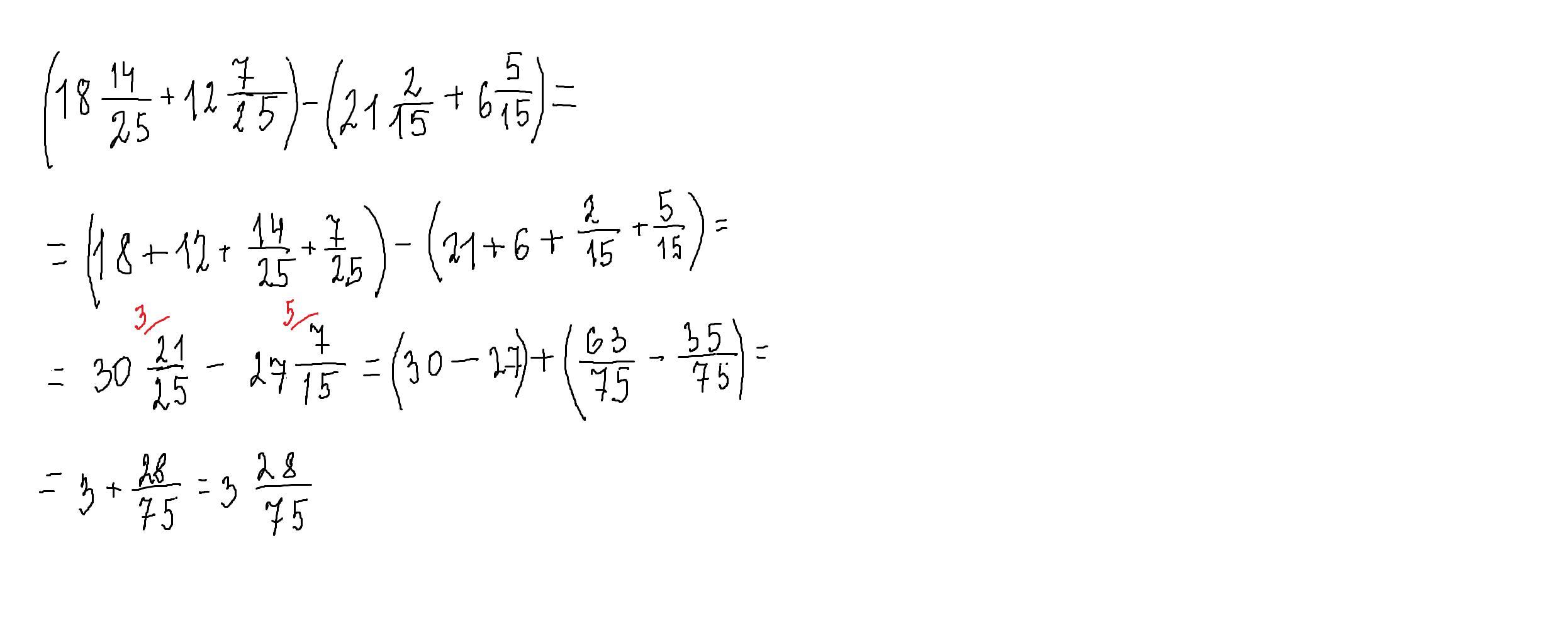
3 целых 28/75 .

Пошаговое объяснение:

1) 18 14/25 + 12 7/25 = (18 + 12) + ( 14/25 + 7/25) = 30 + 21/25 = 30 21/25

2) 21 2/15 + 6 5/15 = (21 + 6) + (2/15 + 5/15) = 27 7/15

3) 30 21/25 - 27 7/15 = (30 - 27) + (21/25 - 7/15) =3+(21/25 · 3/3 - 7/15 · 5/5)=

= 3 + (63/75 - 35/75) = 3 28/75.

Ответ дал: parus77
4

Ответ:

Пошаговое объяснение:

решение внизу

Приложения:
Вас заинтересует