• Предмет: Математика
  • Автор: Аноним
  • Вопрос задан 3 года назад

вычислите
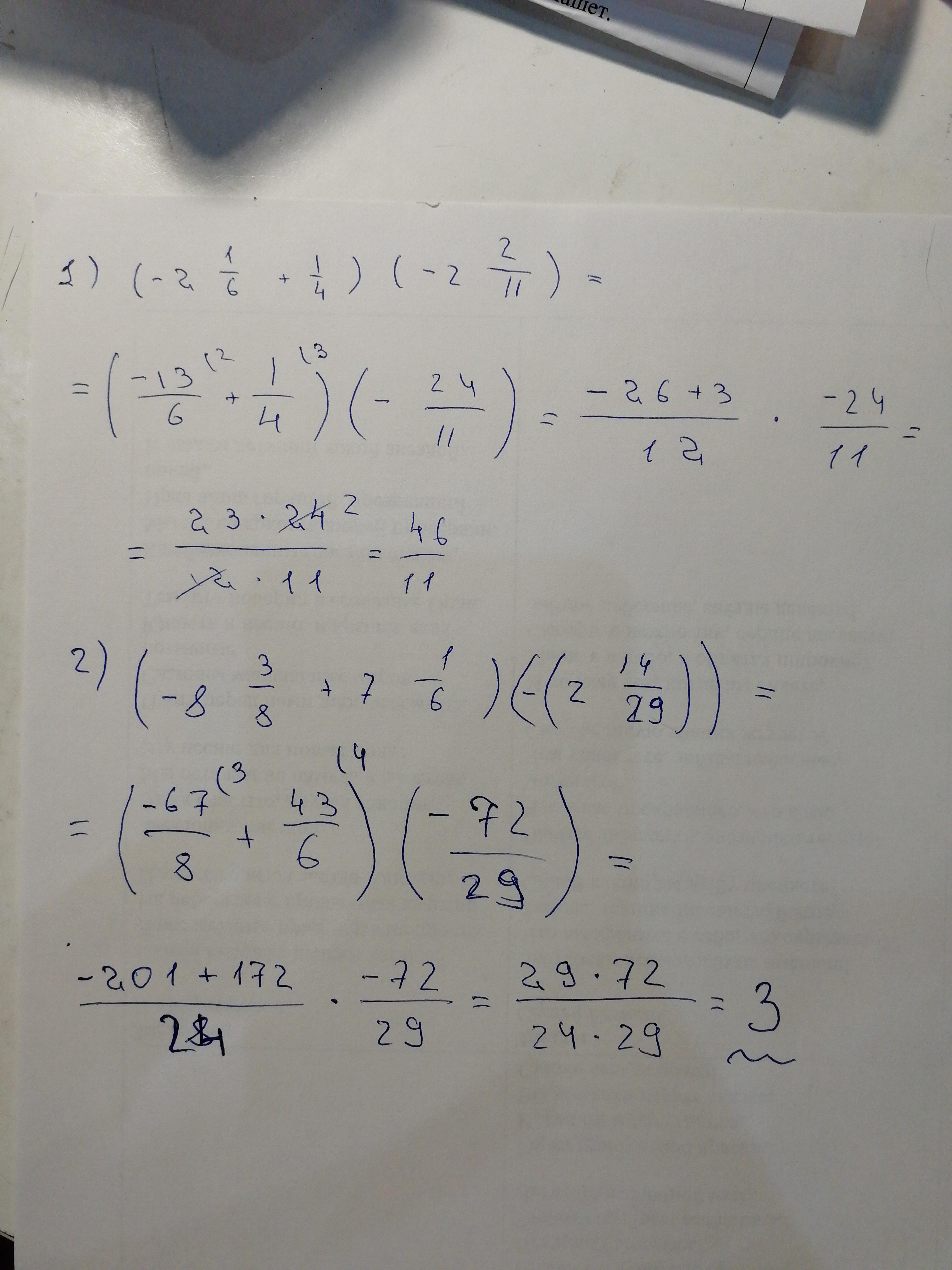
1)(-2 1/6 +1/4)•(-2 2/11)=
2) (-8 3/8 +7 1/6)•(-2 14/29)=
пожалуйста срочно

Ответы

Ответ дал: lady1golyb
0

Ответ:

Пошаговое объяснение

Приложения:
Вас заинтересует