• Предмет: Математика
  • Автор: omironiva
  • Вопрос задан 3 года назад

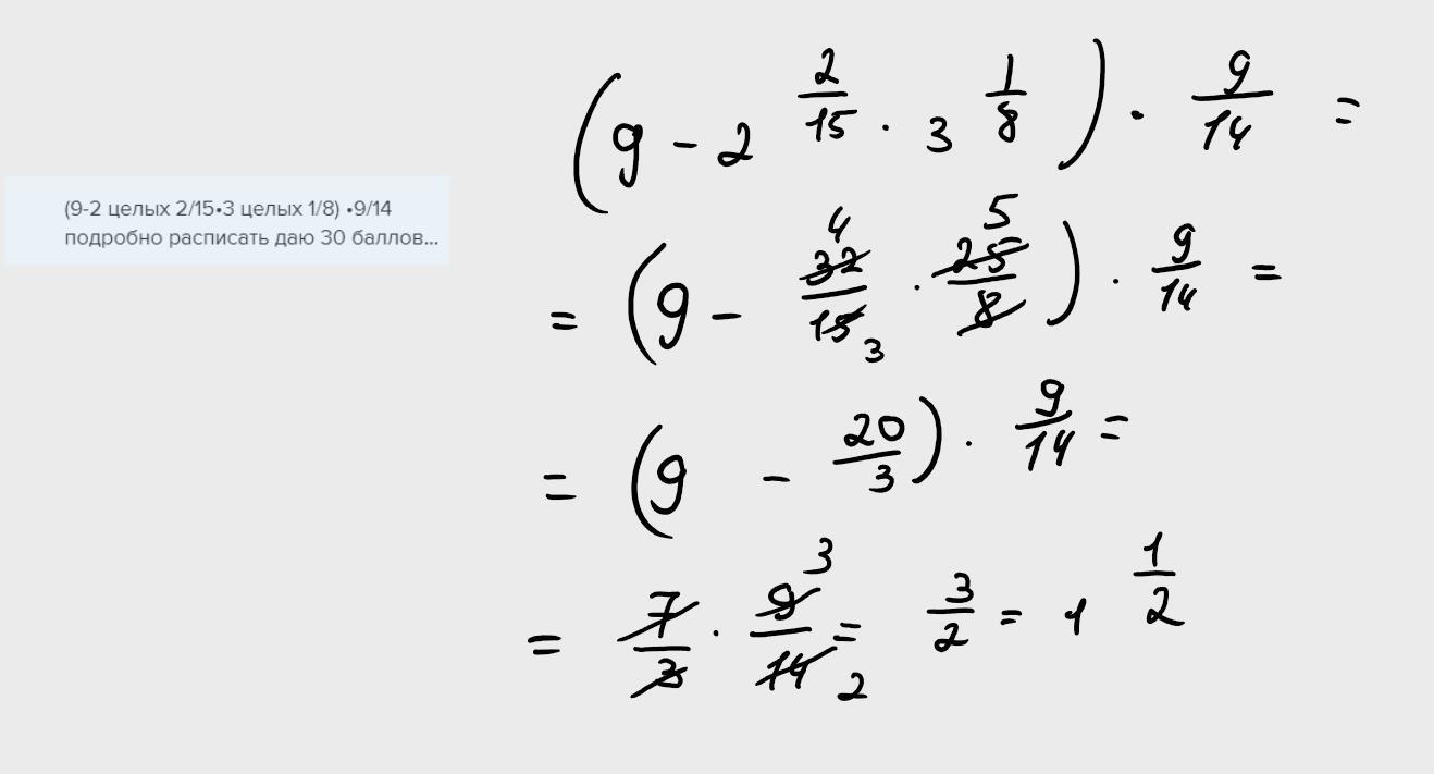
(9-2 целых 2/15•3 целых 1/8) •9/14 подробно расписать даю 30 баллов...

Ответы

Ответ дал: studyprogrammer2019
1

Ответ:

1 \frac{1}{2}

Пошаговое объяснение:

Приложения:

omironiva: извините, можно спросить, откуда вы взяли 7/3?
studyprogrammer2019: Да, это 9 - 20/3, т.е. 27/3 - 20/3 = 7/3
omironiva: а, спасибо, поняла
Вас заинтересует