• Предмет: Математика
  • Автор: aliamusir0
  • Вопрос задан 3 года назад

Приведите к общему знаменателю следующие дроби:
б) , , B)
7
3
23
и
66
И
17.
и
45
20
33
Помогите пожалуйста быстрее


напишите понятно пожалуйста

сделаю самым лучшим ответом​

Приложения:

Ответы

Ответ дал: ivanovaa08
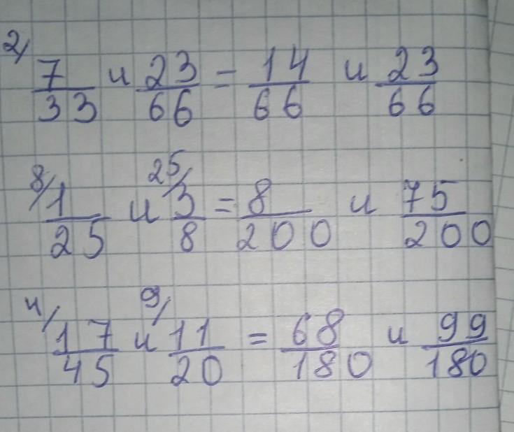
2

Ответ:

7/33 и 23/66

НОК(33,66) = 66

7/ 33  =   7·2 /33·2  =   14/ 66  

23 /66  =   23·1/ 66·1  =   23/ 66

1/25 и 3/8 НОК(25,8) = 200

1 /25  =   1·8 /25·8  =   8 /200  

3/ 8  =   3·25/ 8·25  =   75/ 200

17/45 и 11/20 НОК(45,20) = 180

17 /45  =   17·4 /45·4  =   68 /180  

11 /20  =   11·9 /20·9  =   99 /180

Пошаговое объяснение:

Ответ дал: Аноним
1

Ответ на фото выше)

....

Приложения:
Вас заинтересует