• Предмет: Алгебра
  • Автор: 21ApElSiNkA12
  • Вопрос задан 3 года назад

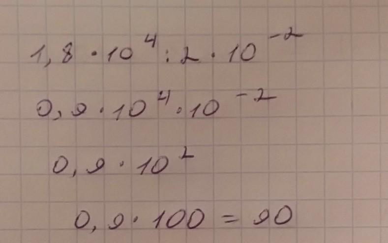
Найди значение выражения
1,8*10^4:2*10^-2=

Ответы

Ответ дал: DemonHanata
1

Здраствуйте, ответ указен на фотографии.

Удачи:)

Приложения:
Ответ дал: FloFlower
0

Ответ:

90

Объяснение:

0,9*10^4*10^-2

0.9*^102

0.9*100

Вас заинтересует