Ответы
Ответ дал:
0
Ответ:
(√3+√2)²= 3 + 6 + 2 = 11
ответ : 11
Ответ дал:
1
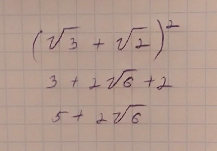
Здраствуйте, ответ указен на фотографии.
Удачи:)✌
Приложения:

Вас заинтересует
2 года назад
2 года назад
2 года назад
2 года назад
9 лет назад