Ответы
Ответ дал:
2
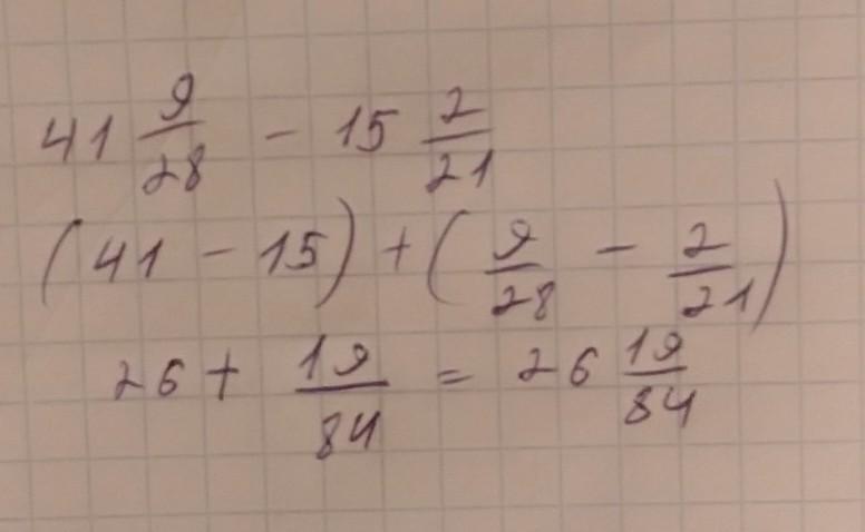
Здраствуйте, ответ указен на фотографии.
Удачи:)✌
Приложения:

Вас заинтересует
2 года назад
2 года назад
2 года назад
7 лет назад
7 лет назад