5. Вычисли:
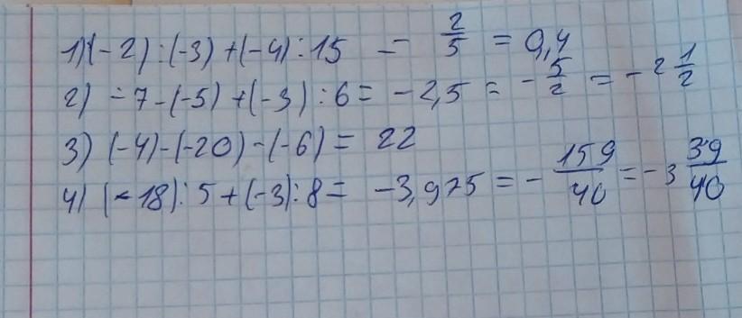
1) (-2):(-3)+(-4):(-15)=
2) -7-(-5)+(-3):6=
3)(-4)-(-20)-(-6)=
4)(-18):5+(-3):8=
Расписать пожалуйста!!!
заранее спасибо ❤️
Ответы
Ответ дал:
1
Ответ:
.....................
Приложения:

qaz12378:
спасибо
Ответ дал:
2
Ответ:
1) (-2):(-3)+(-4):(-15)= 2:3+4:15==
2) -7-(-5)+(-3):6= -7+5+(-3):6= -7+5-0.5= -2-0.5= -2.5
3)(-4)-(-20)-(-6)= -4+20+6=22
4)(-18):5+(-3):8= -3.6-0.375= -3.975
надеюсь помогла, удачи
(отметь пожалуйста как лучший ответ)
Пошаговое объяснение:
Вас заинтересует
2 года назад
2 года назад
2 года назад
7 лет назад
7 лет назад
9 лет назад