• Предмет: Физика
  • Автор: pokemonzzz21
  • Вопрос задан 3 года назад

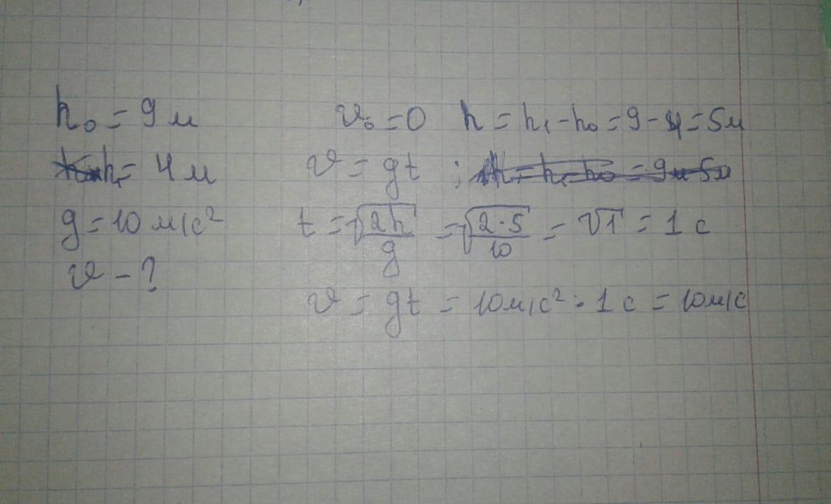
Кирпич падает без начальной скорости с высоты Н=9м. Определите скорость кирпича на высоте h=4м. Ускорение свободного падения примите равным g=10м/с
(копирование с других сайтов не принимается)

Ответы

Ответ дал: obolat
1

Кирпич падает без начальной скорости с высоты Н=9м. Определите скорость кирпича на высоте h=4м. Ускорение свободного падения примите равным g=10м/с

Приложения:
Вас заинтересует