Ответы
Ответ дал:
0
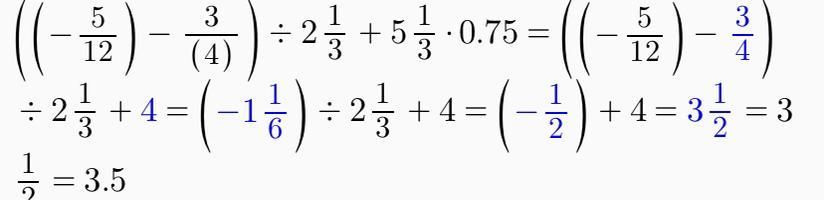
Первое решение :)))))))
Приложения:

sherlockhoustonway:
Второе - 5, третье - 6.75.
Вас заинтересует
2 года назад
2 года назад
7 лет назад
7 лет назад
9 лет назад