• Предмет: Алгебра
  • Автор: Leyniuss
  • Вопрос задан 3 года назад

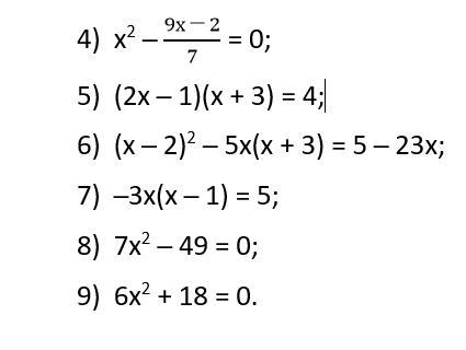
ДАЮ 100 БАЛЛОВ!! Решите пожалуйста хотябы не сколько, буду очень благодарен!!!!

Приложения:

Ответы

Ответ дал: hofag86342
0

Ответ:

9)х=бесконечность (буква р)

8) Корень из X1=Корень из 7 X2=Корень из 7

7)х=бесконечность (буква р)

Объяснение:


hofag86342: 6) х=1/2
hofag86342: 5)x1=-7/2 x2=1
hofag86342: 4) x1=2/7 x2=1
Вас заинтересует