• Предмет: Математика
  • Автор: kulikalina3923
  • Вопрос задан 3 года назад

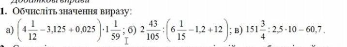
Помогите пожалуйста ​

Приложения:

Ответы

Ответ дал: katyushapak01
0
.....................
Приложения:
Вас заинтересует