• Предмет: Математика
  • Автор: hrgrv4hrjrkkr
  • Вопрос задан 3 года назад


Памагите пж это математика ​

Приложения:

gavhar777: приветик
hrgrv4hrjrkkr: привет
gavhar777: кто это
hrgrv4hrjrkkr: ты кто
gavhar777: человек которая знает математику

Ответы

Ответ дал: gavhar777
0

Ответ:

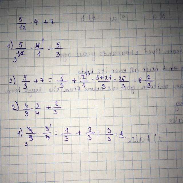
1)8,(6)

2)1

Пошаговое объяснение:

1)26|3=8,(6)

2)3|3=1


hrgrv4hrjrkkr: спасибо
hrgrv4hrjrkkr: ты лучше
Ответ дал: sakoshkaOa
0
Ответ:
Объяснение: на фотке
Приложения:
Вас заинтересует