• Предмет: Математика
  • Автор: Witty08
  • Вопрос задан 3 года назад

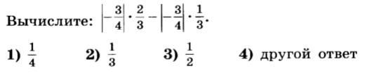
Решите задание на картинке, пожалуйста

Приложения:

Ответы

Ответ дал: Аноним
1

Ответ:

0,25 вариант 4 другой отввет

Пошаговое объяснение:

Вас заинтересует