• Предмет: Алгебра
  • Автор: sweetnikoloriginal
  • Вопрос задан 3 года назад

помогите пожалуйста, долго не могу понять уже

Приложения:

Ответы

Ответ дал: betman134
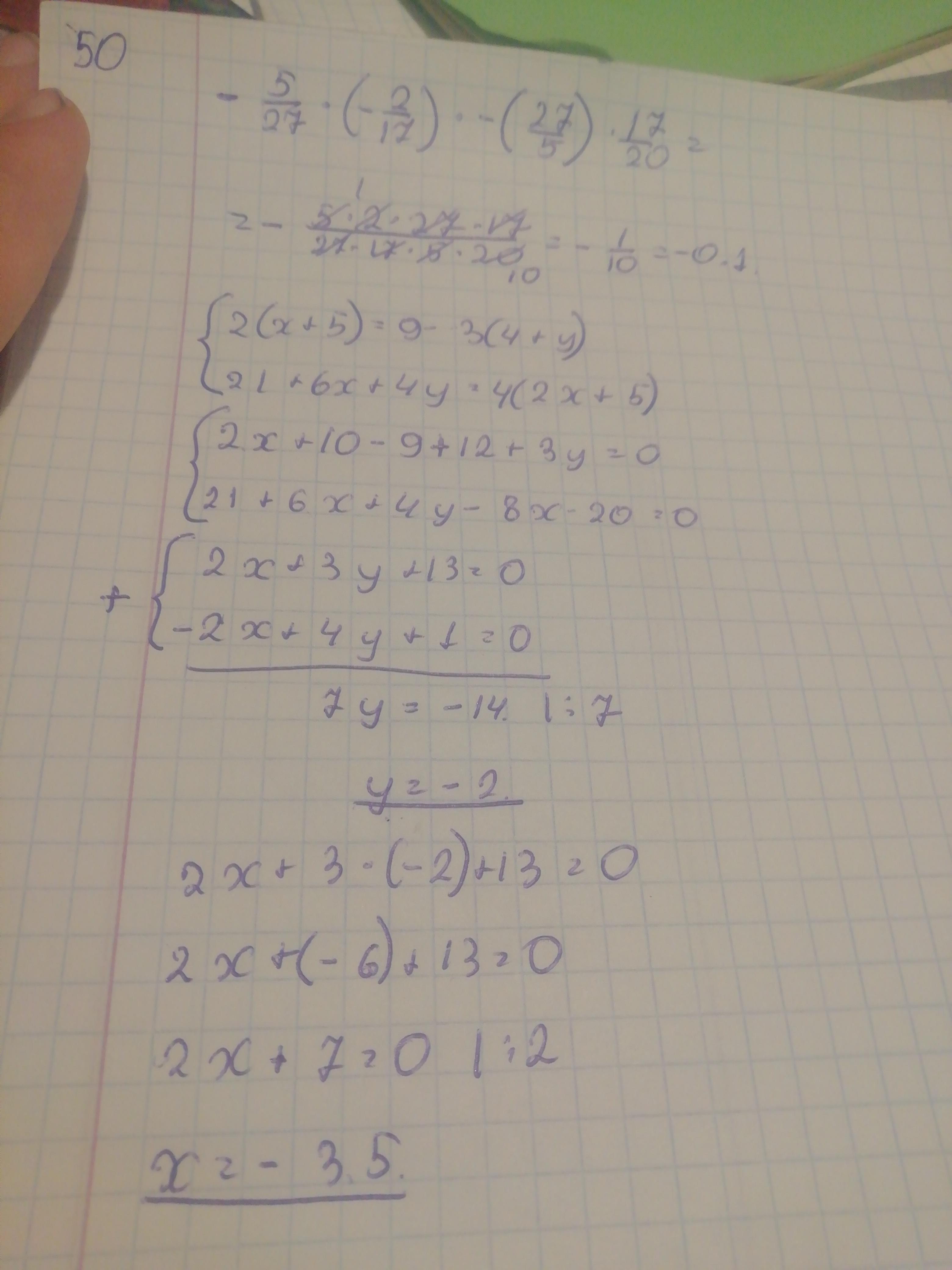
1

Ответ:

В 1м ответ -0.1

Во 2м ответ

х= -3.5

у= -2

Объяснение:

Приложения:

sweetnikoloriginal: в первом все правильно, спасибо, но во втором почему то не принимает.. может неправильно записала?
Вас заинтересует