• Предмет: Математика
  • Автор: Luvronok
  • Вопрос задан 3 года назад

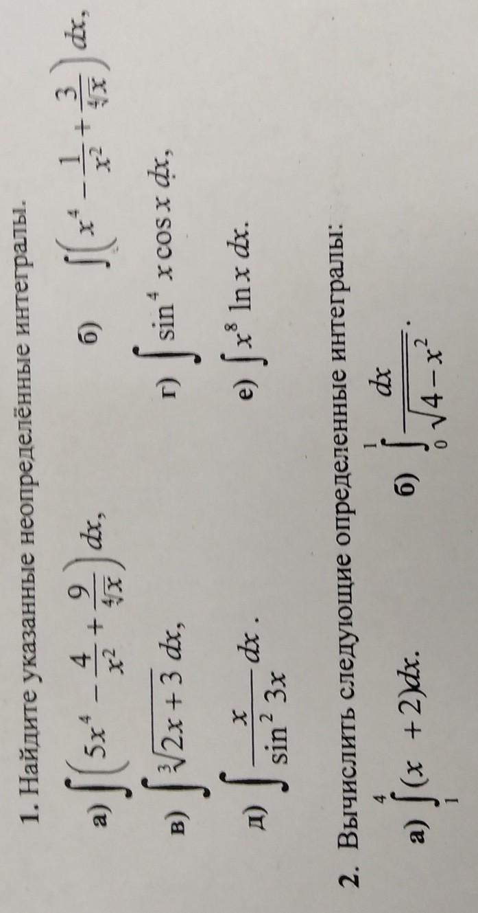
найти указанные неопределённые интегралы​

Приложения:

Ответы

Ответ дал: sonabondarenko078
0

Ответ:

г я тебе говорю в книжку посмотрел

Вас заинтересует