• Предмет: Алгебра
  • Автор: melkor161161
  • Вопрос задан 3 года назад

| 9x +7 | < 3x + 5 подскажите пж чему равен x?
x є?​

Ответы

Ответ дал: mmb1
1

Модуль это неотрицательное число

значит 3x + 5 > 0  

x > -5/3 модуль < отрицательного числа не бывает

теперь будем раскрывать модуль

|9x + 7| = 9x + 7  x >= -7/9

|9x + 7| = -9x - 7   x<-7/9

Сравним -7/9 и -5/3

-7/9  > -15/9

1. -5/3 < x <= -7/9

-9x - 7 < 3x + 5

12x > -12

x > -1

x ∈ (-1, -7/9]

2.  x > -7/9

9x + 7 < 3x + 5

6x < -2

x < -1/3

Сравниваем -1/3 и - 7/9

-3/9 > -7/9

x∈ (-7/9, -1/3)

объединяем решения 1 и 2

ответ  x ∈ (-1, -1/3)

Ответ дал: tamarabernukho
3

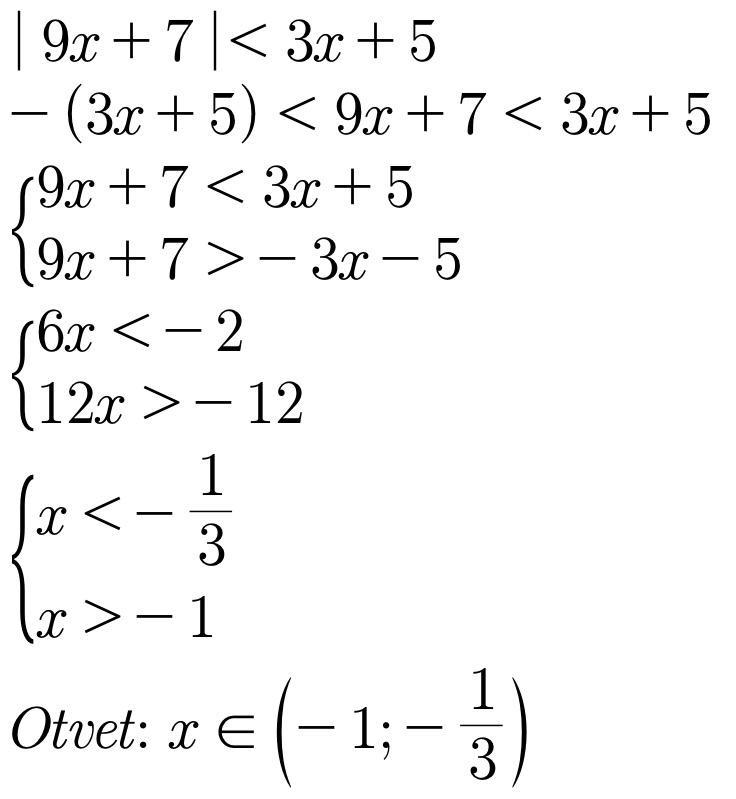
Ответ:

Объяснение:

...........................

Приложения:
Вас заинтересует