• Предмет: Алгебра
  • Автор: kamski800
  • Вопрос задан 3 года назад

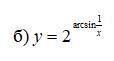
Найти производные функции

Приложения:

Ответы

Ответ дал: NNNLLL54
1

Ответ:

y=2^{arcsin\frac{1}{x}}\\\\\\y'=2^{arcsin\frac{1}{x}}\cdot ln2\cdot \dfrac{1}{\sqrt{1-\frac{1}{x^2}}}\cdot \Big(-\dfrac{1}{x^2}\Big)=-2^{arcsin\frac{1}{x}}\cdot ln2\cdot \dfrac{x}{x^2\cdot \sqrt{x^2-1}}=\\\\\\=-2^{arcsin\frac{1}{x}}\cdot ln2\cdot \dfrac{1}{x\, \sqrt{x^2-1}}

Вас заинтересует