• Предмет: Геометрия
  • Автор: bohdans
  • Вопрос задан 3 года назад

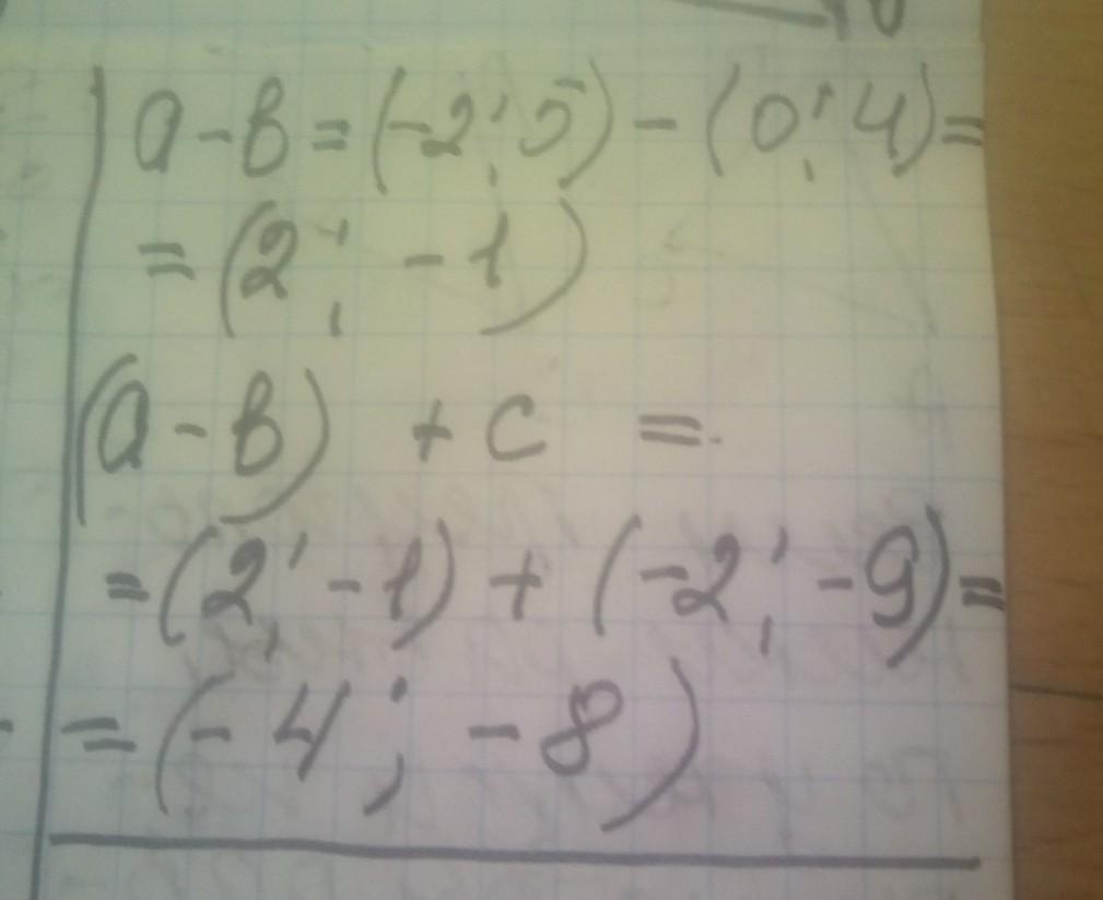
Дано вектори a(-2;5), b(0;4),c(-2;-9).Обчисліть суму векторів a-b і c

Ответы

Ответ дал: manyny06
1

Ответ:

решение на фотографии

Приложения:

bohdans: Спасибо большое
Вас заинтересует