1)Знайти квадрат виразу:a,-2,5b,4x²,6x²y³
2)Знайти подвійний добуток:a і b,3b і -5c 0,5y і 6 0,4x і 2x²
Ответы
Ответ дал:
2
Ответ:
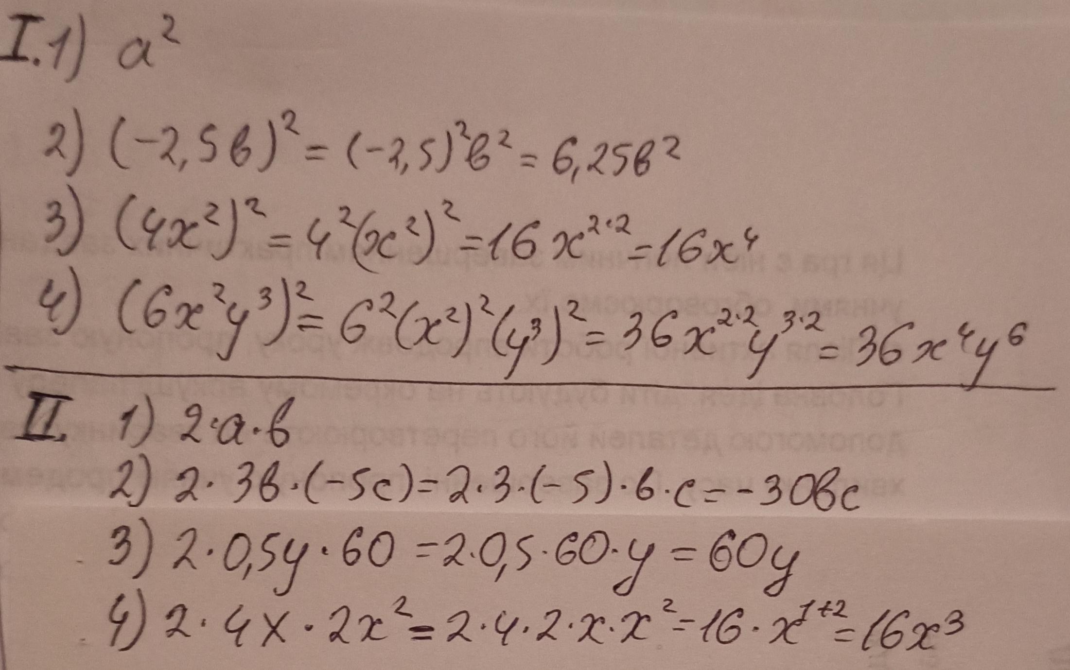
I. 1) а^2
2) 6,25b^2
3) 16x^4
4) 36x^4y^6
II. 1) 2ab
2) -30bc
3) 60y
4) 16x^3
Объяснение:
Приложения:

posetitelinterneta:
Спасибо!
Вас заинтересует
2 года назад
2 года назад
2 года назад
2 года назад
7 лет назад
9 лет назад