Ответы
Ответ дал:
0
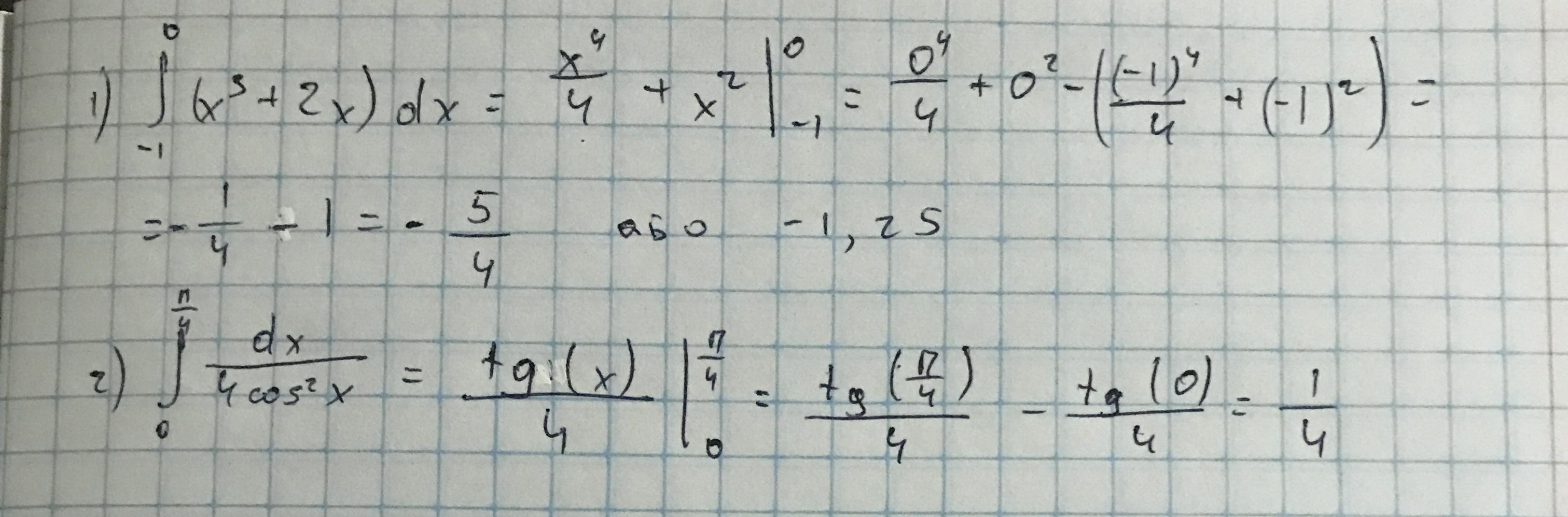
Ответ и пошаговое объяснение:
/пожалуйста, отметь мой ответ как лучший (корона)
Приложения:

Вас заинтересует
2 года назад
2 года назад
7 лет назад
9 лет назад