• Предмет: Математика
  • Автор: anastasiakodis068
  • Вопрос задан 3 года назад

с решением а не просто ответ!!​

Приложения:

Ответы

Ответ дал: klounchrt
1

Ответ:

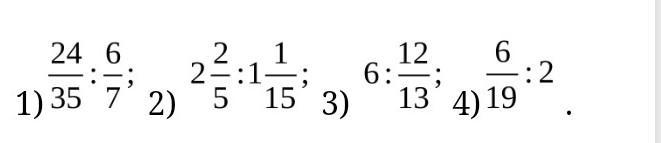
1)4/5; 2) 2 целые 1/4; 3) 6,5; 4)3/19.

Пошаговое объяснение:

1) переварачиваем вторую дробь, меняем знак на умножение и получаем: 24/35*7/6, дальше идёт сокращение, и получается 4/5.

2) Переведём дроби 5*2+2 и 15*1+1. И получаем 12/5*15/16(дробь заранее перевернул). Сокращаем и получаем 9/4, переводим и оканчательнй ответ 2 целые 1/4.

3) Перевернём дробь и получим : 6/1 * 13/12, дальше сокращаем и получаем 13/2, переводим и оканчательный ответ 6 целых 1/2 или 6,5.

4) Превернём дробь и получим 6/19*1/2, дальше сокращаем и получаем 3/19.

Вас заинтересует