• Предмет: Математика
  • Автор: trascynlev33
  • Вопрос задан 3 года назад

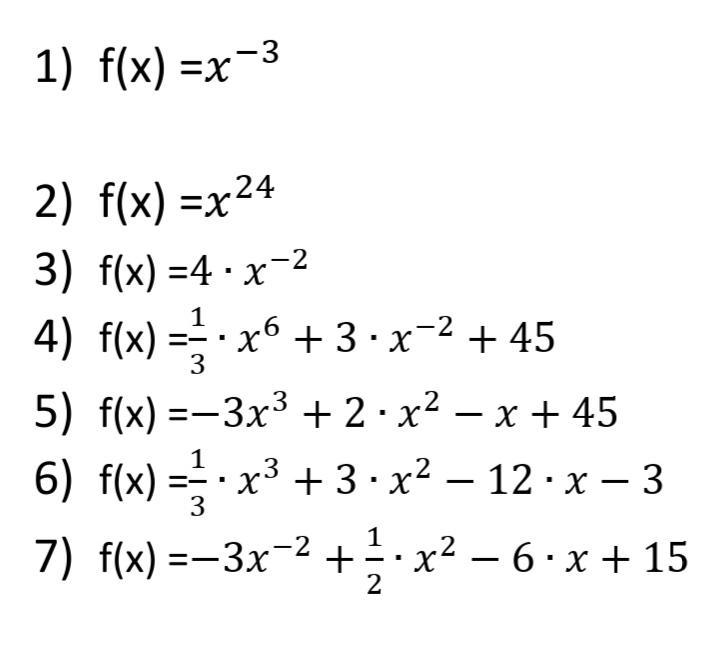
Найдите производную функции f(x)

Приложения:

Ответы

Ответ дал: Miroslava227
0

Ответ:

1)f'(x) =  - 3 {x}^{ - x}  =  -  \frac{3}{ {x}^{4} }

3)f'(x) = 4 \times ( - 2) {x}^{ - 3}  =  -  \frac{8}{ {x}^{3} }

2)f'(x) = 24 {x}^{23}

4)f'(x) =  \frac{6}{3}  {x}^{5}  - 6 {x}^{ - 3}  = 2 {x}^{5 }  -  \frac{6}{ {x}^{3} }

5)f'(x) =  - 3 {x}^{2}  + 4x - 1

6)f'(x) =  {x}^{2}  + 6x - 12

7)f'(x) = 6 {x}^{ - 3}  + x - 6 =  \frac{6}{ {x}^{3} }  + x - 6

Вас заинтересует