• Предмет: Математика
  • Автор: dlapubgl
  • Вопрос задан 3 года назад

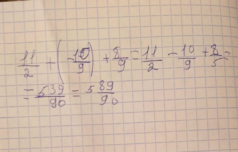
5,5+(-5 2/9)+(-2 2/5)
УМОЛЯЮ НАДО ОЧЕНЬ СРОЧНО​

Ответы

Ответ дал: frggffgddgh
0

Ответ:

-191/90

Пошаговое объяснение:

Вроде бы правильно

Ответ дал: faridmusaev49
0

(((((((((((((()))))))))))))))

Приложения:
Вас заинтересует