• Предмет: Химия
  • Автор: skfofi554
  • Вопрос задан 3 года назад

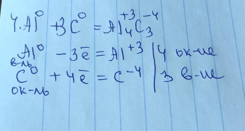
Процесс ОВР представлен уравнением: Al+C → Al4C3

(а) Определите степени окисления элементов в реагентах и продуктах

Ответы

Ответ дал: svetka1574
4

Ответ:

ответ смотри во вложении

Приложения:

Аноним: помогите пожалуйста
Аноним: представьте в виде произведения выражение (х+1)²-(х+2)²​
Аноним: буду очень благодарна
Вас заинтересует