• Предмет: Математика
  • Автор: ogena081
  • Вопрос задан 3 года назад

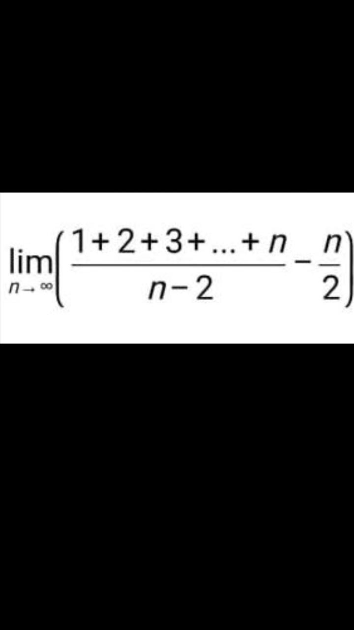
Вычислить предел пожалуйста решите срочнооо!!

Приложения:

Ответы

Ответ дал: abdulismi538
0

Ответ:

сори я в 7 классе...........

Вас заинтересует