• Предмет: Математика
  • Автор: adilyaersaun
  • Вопрос задан 3 года назад

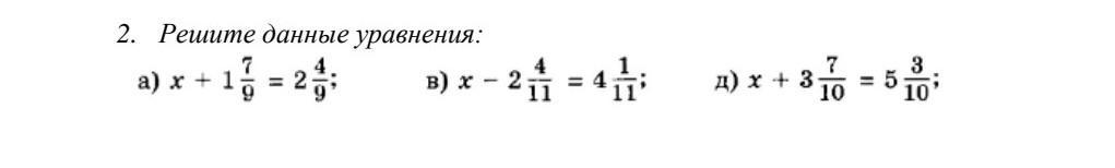
решите все дроби пж за ответ подпишусь и поставлю лайк​

Приложения:

Ответы

Ответ дал: unknown2274
0

Ответ:

a) x=2/3 в) x=71/11 д)x=8/5

Пошаговое объяснение:

a)

x+1 7/9=2 4/9

x+16/9=22/9

x=22/9-16/9

x=2/3

в)

x-2 4/11=4 1/11

x-26/11=45/11

x=45/11+26/11

x=71/11

д)

x+3 7/10=5 3/10

x+37/10=53/10

x=53/10-37/10

x=8/5

Вас заинтересует