Ответы
Ответ дал:
3
Пошаговое объяснение:
вот решение на фото надеюсь помогла
Приложения:

Ответ дал:
3
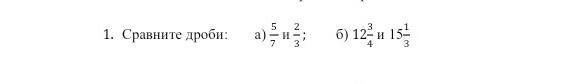
а) 5/7 и 2/3
Приведем дроби к наименьшему общему знаменателю:
5•3/7•3 ? 2•7/3•7
15/21 ? 14/21
Сравнение дробей с равными знаменателями сводится к сравнению их числителей.
Так как знаменатели равны, а 15 > 14 то:
5/7 > 2/3
б) 12 3/4 и 15 1/3
Сравнение смешанных чисел сводится к сравнению их целых частей.
Так как 12 < 15 то:
12 3/4 < 15 1/3
Вас заинтересует
2 года назад
2 года назад
2 года назад
7 лет назад
9 лет назад