• Предмет: Алгебра
  • Автор: potehindmitrij966
  • Вопрос задан 3 года назад

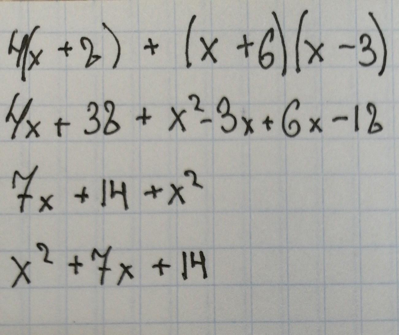
4(х + 8) + (х + 6)(х - 3)
КАК ЭТО РЕШАТЬ

Ответы

Ответ дал: xxxxxevgenxxxxx
1

Ответ:

Дальше решить квадратное уравнение

Приложения:
Ответ дал: akkalinurbek
0

Ответ:

вот это правильно если не правильно прости

Приложения:
Вас заинтересует