• Предмет: Математика
  • Автор: bulletfool22
  • Вопрос задан 3 года назад

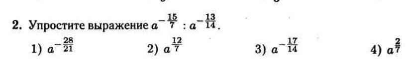
РЕШИТЕ ПЖПЖПЖПЖПЖ. Решение расписать

Приложения:

Ответы

Ответ дал: banan1232
0

Ответ:

a-28/21 нужно упростить, а именно разделить числитель и знаменатель на 7= a-28:7/ 21:7. И получается a-4/3

Пошаговое объяснение:

Вас заинтересует