Ответы
Ответ дал:
2
Ответ:
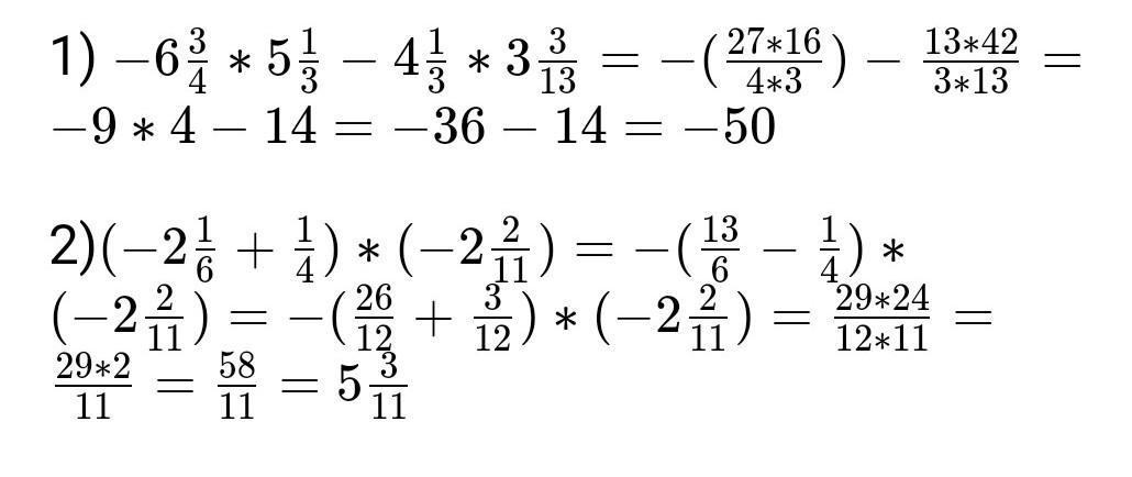
1)-50
Пошаговое объяснение:
1)
2)
Ответ дал:
2
-50
Я НЕ СПИСЫВАЛА УЧИЛКИ ПОПРОСИЛА!!!!!!!!!!!
Приложения:

Вас заинтересует
2 года назад
2 года назад
2 года назад
7 лет назад
9 лет назад