Ответы
Ответ дал:
0
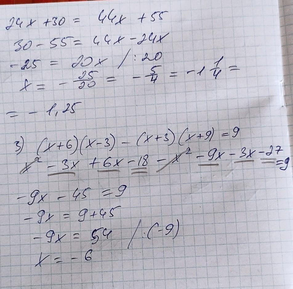
Ответ:
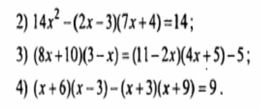
2) x = 2/13
3) x = -1,25
4) x=-6
Объяснение:
Всё на фото.
Приложения:


Вас заинтересует
2 года назад
2 года назад
2 года назад
2 года назад
7 лет назад
7 лет назад
9 лет назад