• Предмет: Математика
  • Автор: vika1731gis33
  • Вопрос задан 3 года назад

ЗАДАНИЕ 2
СРОЧНО ПОМОГИТЕ

Приложения:

vika1731gis33: У НАС СОР

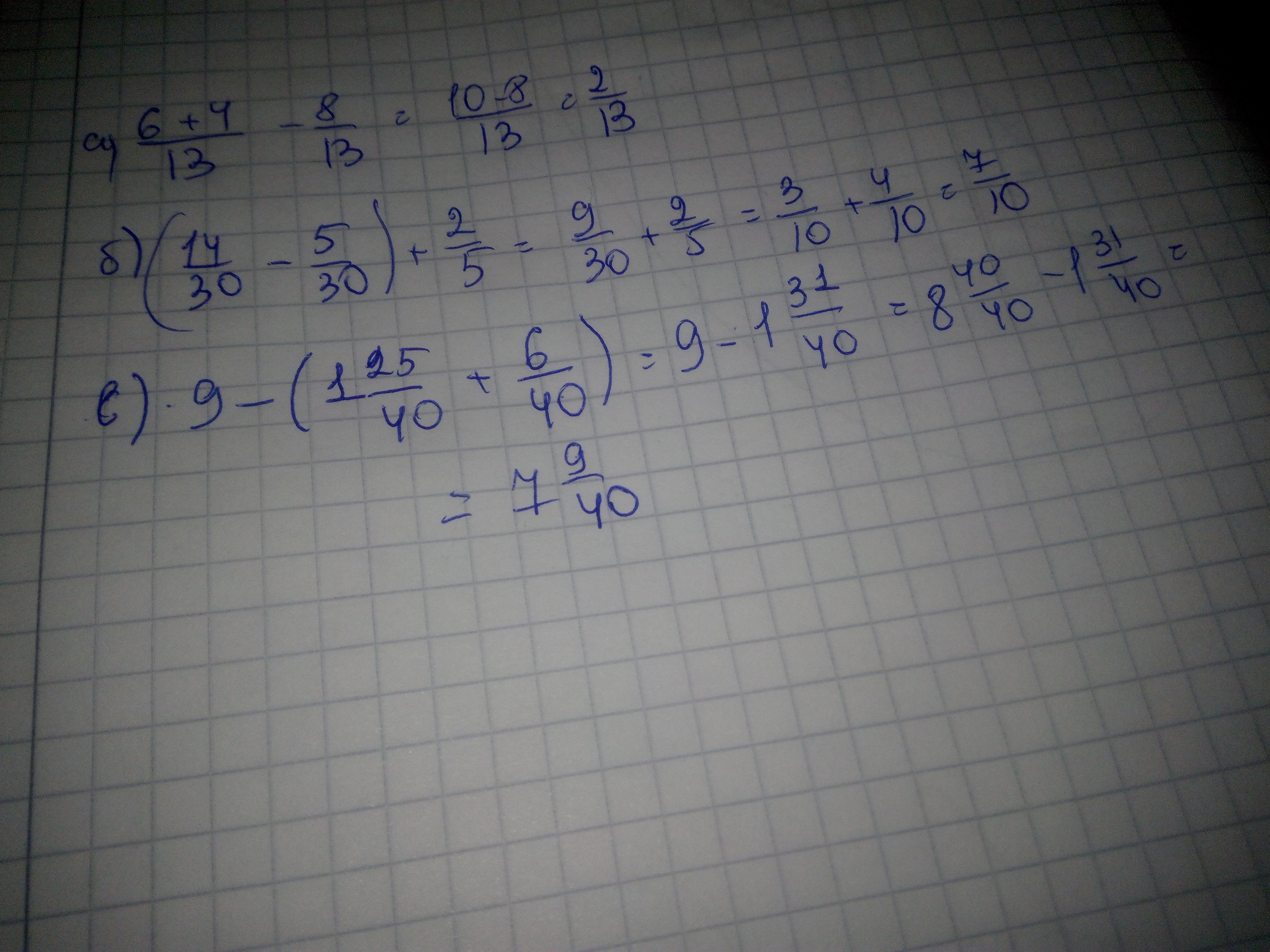
Ответы

Ответ дал: PinkesRose
0

Ответ:

Пошаговое объяснение:

Приложения:

vika1731gis33: Это точно правильно?
vika1731gis33: Если правильно поставлю 5 звезд и спасибо
vika1731gis33: 2 не верный(
vika1731gis33: А так все правильно
vika1731gis33: Ставлю 4 звезды
Вас заинтересует