• Предмет: Химия
  • Автор: babenkop06
  • Вопрос задан 3 года назад

СРОЧНО ДАМ 40 БАЛЛОВ

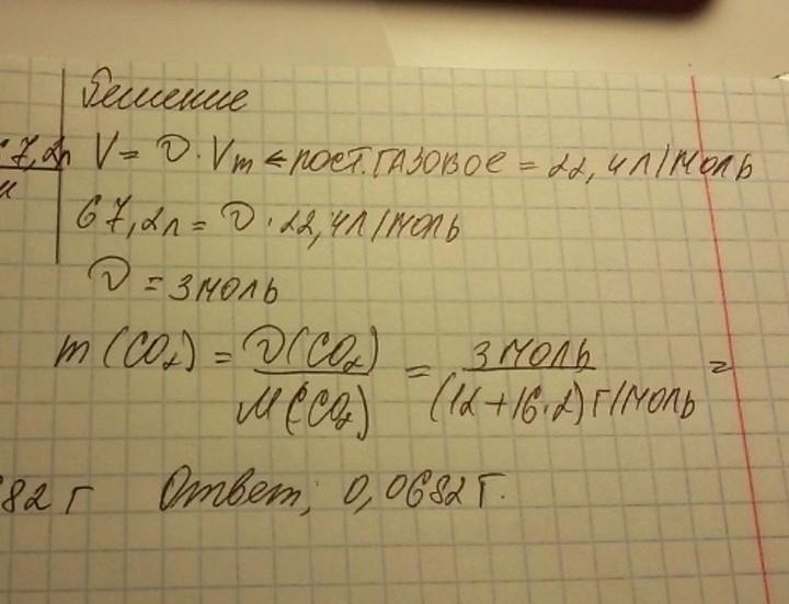
Какую массу имеют 67.2 л н.у углекислого газа CO2?

Ответы

Ответ дал: kharanauli05
0

Ответ:

0.0682г

Объяснение:

Вот решение, думаю будет так

Приложения:

babenkop06: сфоткай нормально
kharanauli05: не вмещается
Вас заинтересует