• Предмет: Математика
  • Автор: Anna8562
  • Вопрос задан 3 года назад

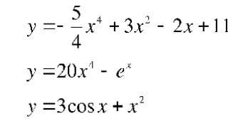
Помогите, пожалуйста, найти производные функции :

Приложения:

Ответы

Ответ дал: Miroslava227
1

Ответ:

y' =  - 5 {x}^{3}  + 6x - 2

y' = 80 {x}^{3}  -  {e}^{x}

y' =  - 3 \sin(x)  + 2x

Вас заинтересует