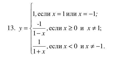
Задание по c#.
Постройте таблицу значений функции y=f(x) для х∈[a, b] с шагом h.

Приложения:

Ответы

Ответ дал: Omikami
1

Ответ в прикрепленном файле

Приложения:
Вас заинтересует