• Предмет: Математика
  • Автор: mariamalibaeva
  • Вопрос задан 3 года назад

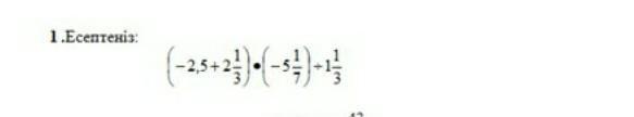
помогите пж не могу найти ответ пжпжпжпжпжпжп​

Приложения:

Ответы

Ответ дал: vbanikardt
0

Ответ:

46/21= 2 4\21

Пошаговое объяснение:

1.(-5/2+7/3)*(-36/7)+4/3

2.-1/6*(-36/7)+4/3

3.6/7+4/3=46\21=2 4/21

Вас заинтересует