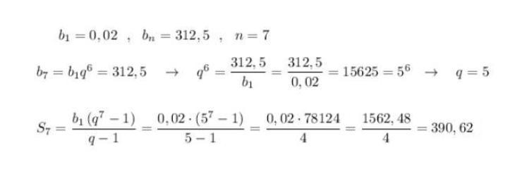
В геометрической прогрессии (b n) найдите q и Sn если b1=0,02 bn =312,5 n=7
Пожалуйстаааа помоготееее
Fivver:
ответа нет ):
Ответы
Ответ дал:
25
....................................................................................................................................
Приложения:
Вас заинтересует
2 года назад
2 года назад
2 года назад
8 лет назад
8 лет назад
9 лет назад
9 лет назад