Ответы
Ответ дал:
0
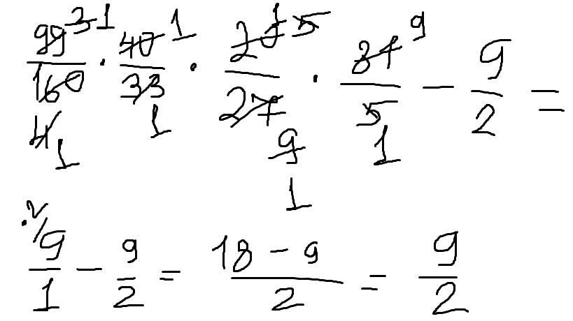
Ответ:
9/2
Объяснение:
Приложения:

arslanarslantemir51:
там бутін ест
Ответ дал:
0
Ответ:
160×90=14400
40×33=1320
20×27=540
81×5=405
2×1=2×4=8
Вас заинтересует
2 года назад
2 года назад
2 года назад
2 года назад
7 лет назад
7 лет назад
9 лет назад