• Предмет: Математика
  • Автор: perizatkulmahanbetov
  • Вопрос задан 3 года назад

пожалуйста можно быстреее
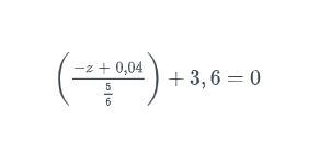
z=?

Приложения:

Ответы

Ответ дал: zeinelkha7802
0

z =  \frac{76}{25}

Вас заинтересует