Ответы
Ответ дал:
1
Данный ответ представлен фотографией.
Приложения:

Ответ дал:
1
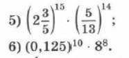
Ответ:
Пошаговое объяснение:
5)=2 3/15*(11/13)^14=33/15*11^14/13^14=11/5*11^14/13^14=11^15/5*13^14≈0,21
6)=2^-30*2^24=2^-6=1/2^6=1/64 или 0,01
Вас заинтересует
2 года назад
2 года назад
2 года назад
7 лет назад
9 лет назад
9 лет назад